本品主要成份為枸櫞酸莫沙必利
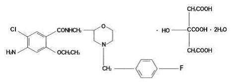
化學名稱為:
4-氨基-5-氯-2-乙氧基-N-{[4-(4- 氟芐基)-2-嗎啉基]甲基}苯甲酰胺枸櫞酸鹽二水合物。
化學結構式: 
分子式: C21H25ClFN303 .C6H807.2H20
分子量: 650.05
本品為消化道促動力劑,主要用于功能性消化不良、慢性胃炎伴有燒心、噯氣、惡心、嘔吐、早飽、上腹脹、上腹痛等消化道癥狀者。
5mg。
口服,一次5mg(一片),一日三次,飯前或飯后服用,或遵醫囑。
主要表現為腹瀉、腹痛、口干、皮疹及倦怠、頭暈等。偶見嗜酸性粒細胞增多、甘油三酯升高及丙氨酸氨基轉移酶(ALT)、天門冬氨酸氨基轉移酶(AST)、堿性磷酸酶(AKP)、γ-谷氨酰轉肽酶(GGT)升高。